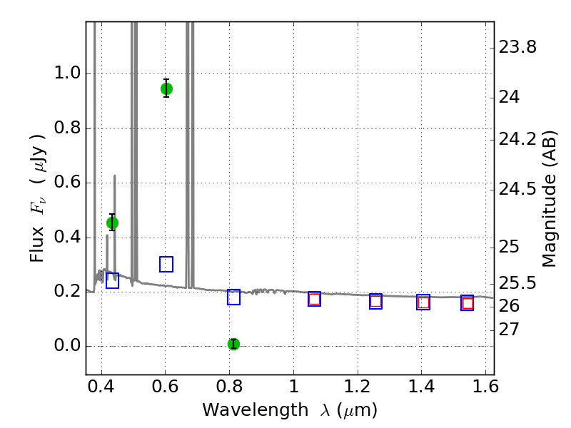
RXC0142+44 ACS+IR detection object #1269

Color images and BPZ results
Catalog: 1269.cat
Black segments are analyzed here.   Roll mouse over color images to view segments.
Best viewed in a wide browser window (1200 pixels or more).   Download SED & P(z) plots to view larger versions.
In P(z) plots: Yellow lines mark the cluster redshift z = 0.341,  

Object #1269   x,y = (4214, 3508)   RA, Dec = (01:42:45.168, 44:39:03.60) = (25.68820, 44.65100)   BPZ = 0.016 [0.010--0.032]   type = 11.00 (SB11_A_0_l)   chisq2 = 408.50   ODDS = 1.00   z_cluster = 0.341