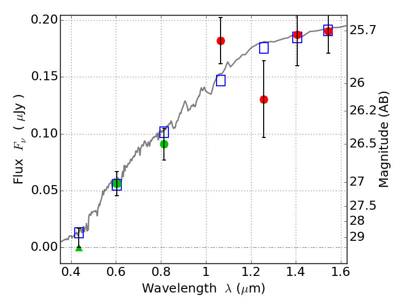
RXC0142+44 IR detection object #980

Color images and BPZ results
Catalog: 980.cat
Black segments are analyzed here.   Roll mouse over color images to view segments.
Best viewed in a wide browser window (1200 pixels or more).   Download SED & P(z) plots to view larger versions.
In P(z) plots: Yellow lines mark the cluster redshift z = 0.341,  

Object #980   x,y = (2632, 1980)   RA, Dec = (01:42:54.072, 44:37:32.16) = (25.72530, 44.62560)   BPZ = 0.204 [0.072--4.125]   type = 3.50 (Ell4_A_0 - Ell5_A_0)   chisq2 = 1.10   ODDS = 0.26   z_cluster = 0.341