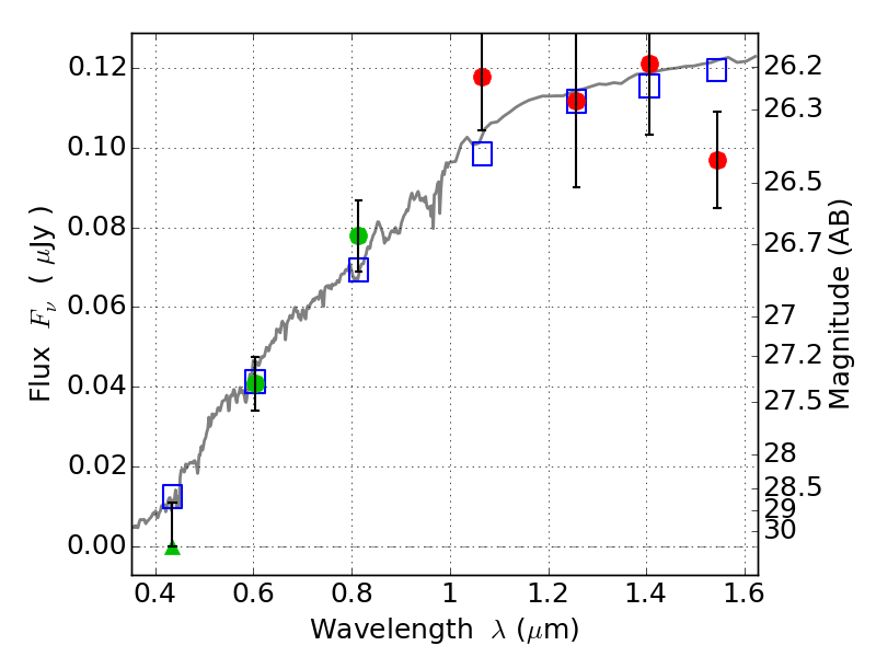
RXC0142+44 IR detection object #880

Color images and BPZ results
Catalog: 880.cat
Black segments are analyzed here.   Roll mouse over color images to view segments.
Best viewed in a wide browser window (1200 pixels or more).   Download SED & P(z) plots to view larger versions.
In P(z) plots: Yellow lines mark the cluster redshift z = 0.341,  

Object #880   x,y = (2915, 2263)   RA, Dec = (01:42:52.464, 44:37:49.08) = (25.71860, 44.63030)   BPZ = 0.128 [0.069--4.426]   type = 4.00 (Ell4_A_0)   chisq2 = 1.35   ODDS = 0.12   z_cluster = 0.341