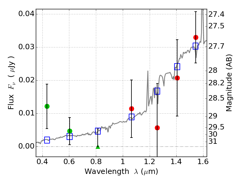
RXC0142+44 IR detection object #44

Color images and BPZ results
Catalog: 44.cat
Black segments are analyzed here.   Roll mouse over color images to view segments.
Best viewed in a wide browser window (1200 pixels or more).   Download SED & P(z) plots to view larger versions.
In P(z) plots: Yellow lines mark the cluster redshift z = 0.341,  

Object #44   x,y = (2547, 3795)   RA, Dec = (01:42:54.528, 44:39:20.88) = (25.72720, 44.65580)   BPZ = 2.176 [0.647--7.889]   type = 6.50 (Scd_B10 - Sbc_B10)   chisq2 = 0.96   ODDS = 0.10   z_cluster = 0.341