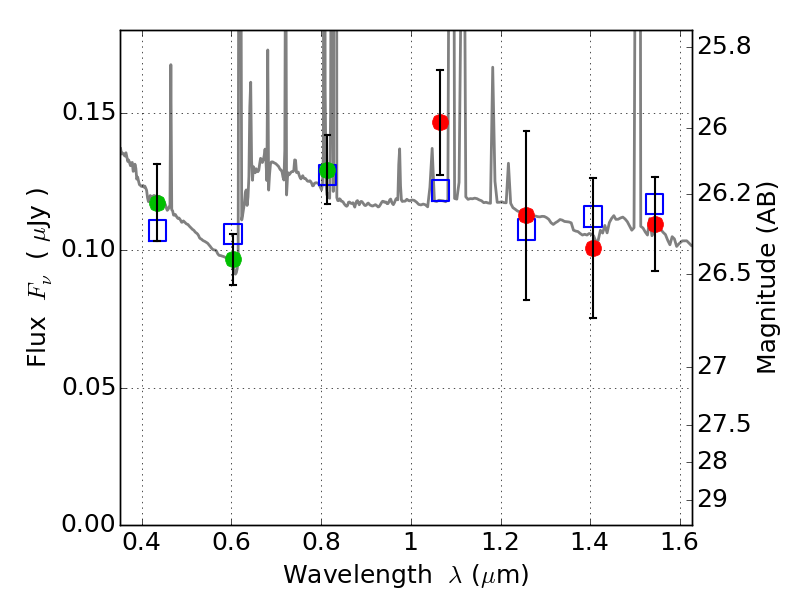
RXC0142+44 IR detection object #349

Color images and BPZ results
Catalog: 349.cat
Black segments are analyzed here.   Roll mouse over color images to view segments.
Best viewed in a wide browser window (1200 pixels or more).   Download SED & P(z) plots to view larger versions.
In P(z) plots: Yellow lines mark the cluster redshift z = 0.341,  

Object #349   x,y = (1648, 2943)   RA, Dec = (01:42:59.592, 44:38:29.76) = (25.74830, 44.64160)   BPZ = 0.662 [0.460--1.136]   type = 10.50 (SB11_A_0_l - SB3_B10)   chisq2 = 0.67   ODDS = 0.30   z_cluster = 0.341