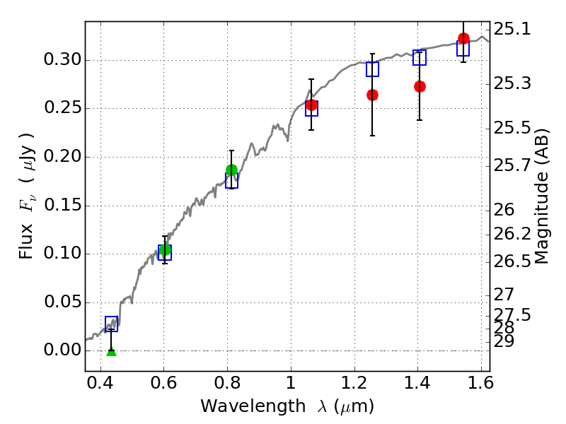
RXC0142+44 IR detection object #256

Color images and BPZ results
Catalog: 256.cat
Black segments are analyzed here.   Roll mouse over color images to view segments.
Best viewed in a wide browser window (1200 pixels or more).   Download SED & P(z) plots to view larger versions.
In P(z) plots: Yellow lines mark the cluster redshift z = 0.341,  

Object #256   x,y = (2497, 3108)   RA, Dec = (01:42:54.816, 44:38:39.84) = (25.72840, 44.64440)   BPZ = 0.163 [0.067--4.232]   type = 4.00 (Ell4_A_0)   chisq2 = 0.49   ODDS = 0.20   z_cluster = 0.341