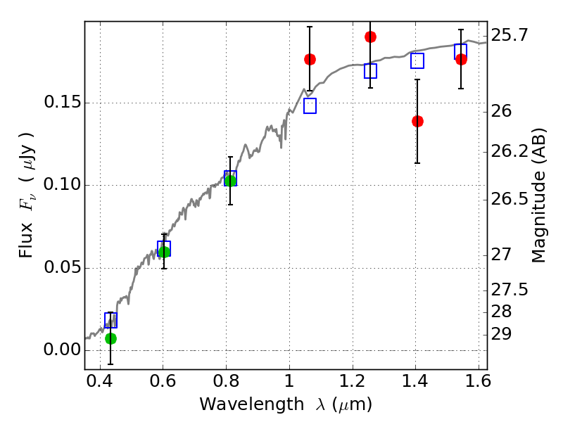
RXC0142+44 IR detection object #225

Color images and BPZ results
Catalog: 225.cat
Black segments are analyzed here.   Roll mouse over color images to view segments.
Best viewed in a wide browser window (1200 pixels or more).   Download SED & P(z) plots to view larger versions.
In P(z) plots: Yellow lines mark the cluster redshift z = 0.341,  

Object #225   x,y = (2141, 3180)   RA, Dec = (01:42:56.832, 44:38:44.16) = (25.73680, 44.64560)   BPZ = 0.139 [0.052--4.188]   type = 4.00 (Ell4_A_0)   chisq2 = 1.01   ODDS = 0.26   z_cluster = 0.341