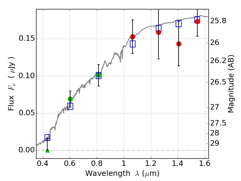
RXC0142+44 IR detection object #1198

Color images and BPZ results
Catalog: 1198.cat
Black segments are analyzed here.   Roll mouse over color images to view segments.
Best viewed in a wide browser window (1200 pixels or more).   Download SED & P(z) plots to view larger versions.
In P(z) plots: Yellow lines mark the cluster redshift z = 0.341,  

Object #1198   x,y = (2504, 1233)   RA, Dec = (01:42:54.768, 44:36:47.16) = (25.72820, 44.61310)   BPZ = 0.144 [0.062--4.154]   type = 4.00 (Ell4_A_0)   chisq2 = 0.50   ODDS = 0.14   z_cluster = 0.341