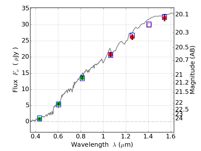
RXC0142+44 IR detection object #1181

Color images and BPZ results
Catalog: 1181.cat
Black segments are analyzed here.   Roll mouse over color images to view segments.
Best viewed in a wide browser window (1200 pixels or more).   Download SED & P(z) plots to view larger versions.
In P(z) plots: Yellow lines mark the cluster redshift z = 0.341,  

Object #1181   x,y = (2841, 1336)   RA, Dec = (01:42:52.896, 44:36:53.28) = (25.72040, 44.61480)   BPZ = 0.398 [0.327--0.463]   type = 2.40 (Ell6_A_0 - Ell5_A_0)   chisq2 = 0.02   ODDS = 0.87   z_cluster = 0.341