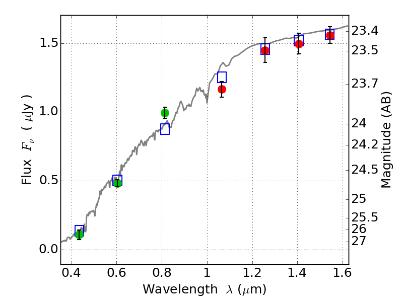
RXC0142+44 IR detection object #1160

Color images and BPZ results
Catalog: 1160.cat
Black segments are analyzed here.   Roll mouse over color images to view segments.
Best viewed in a wide browser window (1200 pixels or more).   Download SED & P(z) plots to view larger versions.
In P(z) plots: Yellow lines mark the cluster redshift z = 0.341,  

Object #1160   x,y = (2190, 1463)   RA, Dec = (01:42:56.544, 44:37:00.84) = (25.73560, 44.61690)   BPZ = 0.169 [0.086--4.061]   type = 4.00 (Ell4_A_0)   chisq2 = 0.43   ODDS = 0.77   z_cluster = 0.341