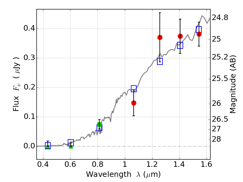
RXC0142+44 IR detection object #1147

Color images and BPZ results
Catalog: 1147.cat
Black segments are analyzed here.   Roll mouse over color images to view segments.
Best viewed in a wide browser window (1200 pixels or more).   Download SED & P(z) plots to view larger versions.
In P(z) plots: Yellow lines mark the cluster redshift z = 0.341,  

Object #1147   x,y = (2028, 1522)   RA, Dec = (01:42:57.456, 44:37:04.44) = (25.73940, 44.61790)   BPZ = 1.080 [0.835--5.438]   type = 2.20 (Ell6_A_0 - Ell5_A_0)   chisq2 = 0.59   ODDS = 0.40   z_cluster = 0.341