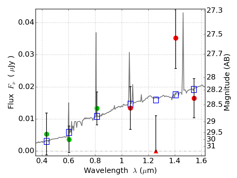
RXC0142+44 IR detection object #1143

Color images and BPZ results
Catalog: 1143.cat
Black segments are analyzed here.   Roll mouse over color images to view segments.
Best viewed in a wide browser window (1200 pixels or more).   Download SED & P(z) plots to view larger versions.
In P(z) plots: Yellow lines mark the cluster redshift z = 0.341,  

Object #1143   x,y = (2564, 1539)   RA, Dec = (01:42:54.456, 44:37:05.52) = (25.72690, 44.61820)   BPZ = 0.609 [0.191--5.261]   type = 7.80 (SB1_B10 - Scd_B10)   chisq2 = 1.57   ODDS = 0.07   z_cluster = 0.341