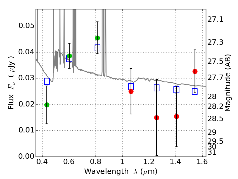
RXC0142+44 IR detection object #1059

Color images and BPZ results
Catalog: 1059.cat
Black segments are analyzed here.   Roll mouse over color images to view segments.
Best viewed in a wide browser window (1200 pixels or more).   Download SED & P(z) plots to view larger versions.
In P(z) plots: Yellow lines mark the cluster redshift z = 0.341,  

Object #1059   x,y = (2296, 1783)   RA, Dec = (01:42:55.944, 44:37:20.28) = (25.73310, 44.62230)   BPZ = 0.303 [0.129--3.681]   type = 11.00 (SB11_A_0_l)   chisq2 = 0.97   ODDS = 0.18   z_cluster = 0.341