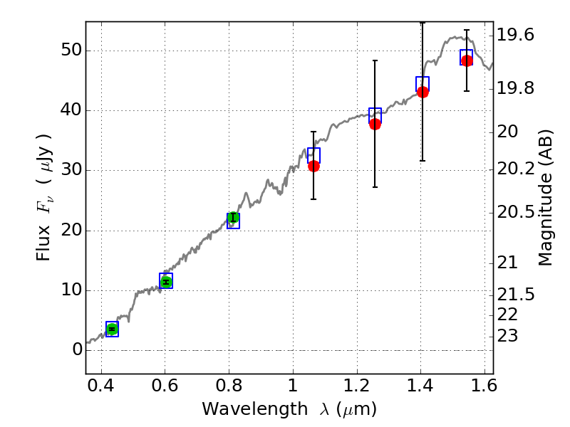
RXC0142+44 IR detection object #1056

Color images and BPZ results
Catalog: 1056.cat
Black segments are analyzed here.   Roll mouse over color images to view segments.
Best viewed in a wide browser window (1200 pixels or more).   Download SED & P(z) plots to view larger versions.
In P(z) plots: Yellow lines mark the cluster redshift z = 0.341,  

Object #1056   x,y = (1791, 1762)   RA, Dec = (01:42:58.800, 44:37:18.84) = (25.74500, 44.62190)   BPZ = 0.133 [0.103--0.388]   type = 5.20 (ES0_B10 - Sbc_B10)   chisq2 = 0.04   ODDS = 0.36   z_cluster = 0.341