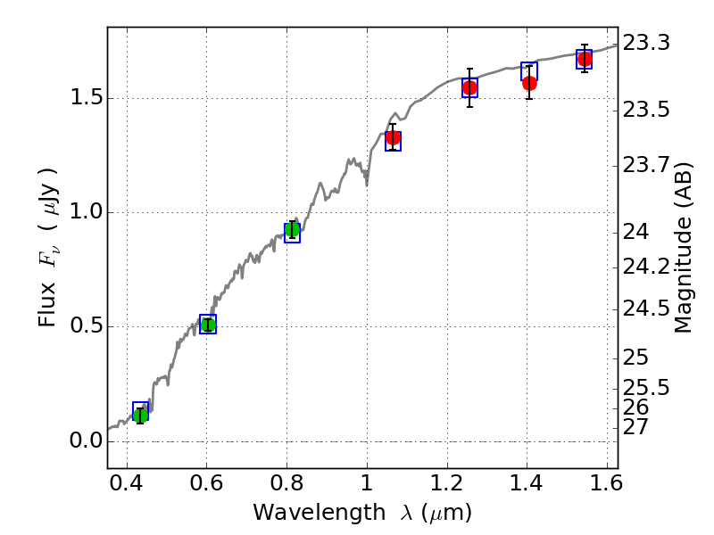
RXC0142+44 IR detection object #983

Color images and BPZ results
Catalog: 983.cat
Black segments are analyzed here.   Roll mouse over color images to view segments.
Best viewed in a wide browser window (1200 pixels or more).   Download SED & P(z) plots to view larger versions.
In P(z) plots: Yellow lines mark the cluster redshift z = 0.341,  

Object #983   x,y = (2192, 1979)   RA, Dec = (01:42:56.544, 44:37:32.16) = (25.73560, 44.62560)   BPZ = 0.175 [0.092--0.432]   type = 3.50 (Ell4_A_0 - Ell5_A_0)   chisq2 = 0.05   ODDS = 0.76   z_cluster = 0.341