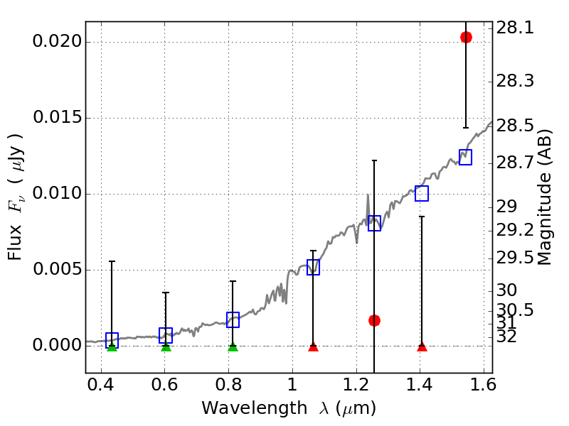
RXC0142+44 IR detection object #615

Color images and BPZ results
Catalog: 615.cat
Black segments are analyzed here.   Roll mouse over color images to view segments.
Best viewed in a wide browser window (1200 pixels or more).   Download SED & P(z) plots to view larger versions.
In P(z) plots: Yellow lines mark the cluster redshift z = 0.341,  

Object #615   x,y = (2710, 2738)   RA, Dec = (01:42:53.640, 44:38:17.52) = (25.72350, 44.63820)   BPZ = 1.470 [0.600--12.546]   type = 6.00 (Sbc_B10)   chisq2 = 1.08   ODDS = 0.05   z_cluster = 0.341