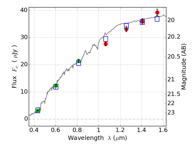
RXC0142+44 IR detection object #1059
Color images and BPZ results
Catalog: 1059.cat
Black segments are analyzed here. Roll mouse over color images to view segments.
Best viewed in a wide browser window (1200 pixels or more). Download SED & P(z) plots to view larger versions.
In P(z) plots: Yellow lines mark the cluster redshift z = 0.341,
Object #1059 x,y = (2751, 1883) RA, Dec = (01:42:53.400, 44:37:26.40) = (25.72250, 44.62400) BPZ = 0.165 [0.135--0.190] type = 3.90 (Ell4_A_0 - Ell5_A_0) chisq2 = 0.40 ODDS = 0.99 z_cluster = 0.341