RXC0142+44 IR detection object #795

Color images and BPZ results
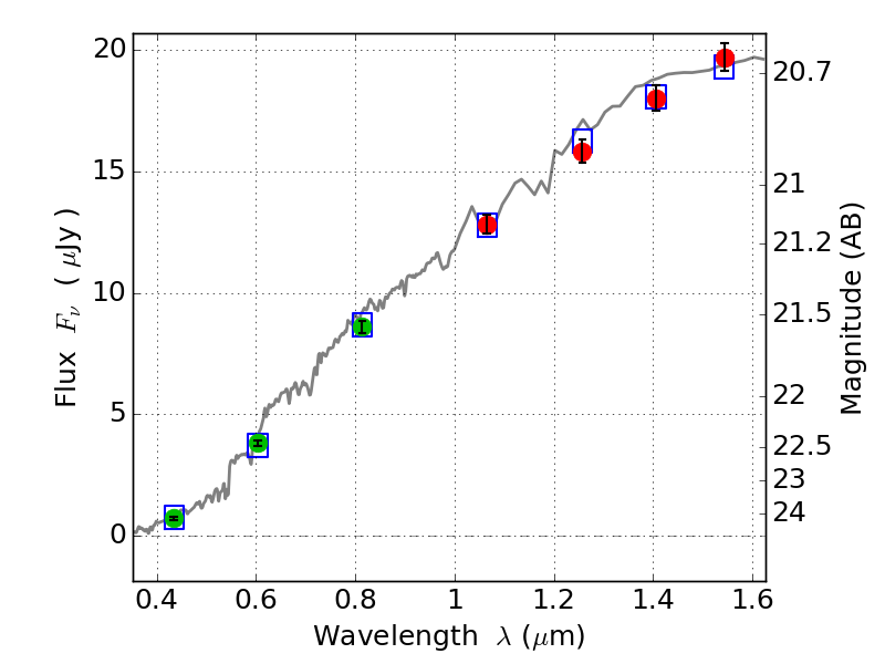
Catalog: 795.cat
Black segments are analyzed here.   Roll mouse over color images to view segments.
Best viewed in a wide browser window (1200 pixels or more).   Download SED & P(z) plots to view larger versions.
In P(z) plots: Yellow lines mark the cluster redshift z = 0.341,  

Object #795   x,y = (2572, 2289)   RA, Dec = (01:42:54.408, 44:37:50.52) = (25.72670, 44.63070)   BPZ = 0.369 [0.273--0.405]   type = 4.10 (Ell4_A_0 - ES0_B10)   stellarity = 0.71   chisq2 = 0.05   ODDS = 0.83   z_cluster = 0.341