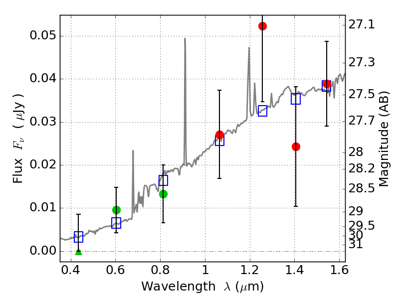
RXC0142+44 IR detection object #192

Color images and BPZ results
Catalog: 192.cat
Black segments are analyzed here.   Roll mouse over color images to view segments.
Best viewed in a wide browser window (1200 pixels or more).   Download SED & P(z) plots to view larger versions.
In P(z) plots: Yellow lines mark the cluster redshift z = 0.341,  

Object #192   x,y = (3066, 3255)   RA, Dec = (01:42:51.624, 44:38:48.48) = (25.71510, 44.64680)   BPZ = 0.819 [0.332--5.541]   type = 6.90 (Scd_B10 - Sbc_B10)   stellarity = 0.00   chisq2 = 0.62   ODDS = 0.08   z_cluster = 0.341