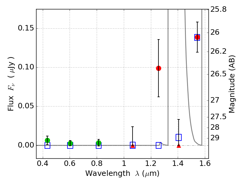
RXC0142+44 IR detection object #1196

Color images and BPZ results
Catalog: 1196.cat
Black segments are analyzed here.   Roll mouse over color images to view segments.
Best viewed in a wide browser window (1200 pixels or more).   Download SED & P(z) plots to view larger versions.
In P(z) plots: Yellow lines mark the cluster redshift z = 0.341,  

Object #1196   x,y = (2808, 1309)   RA, Dec = (01:42:53.088, 44:36:51.84) = (25.72120, 44.61440)   BPZ = 11.985 [1.631--12.856]   type = 9.00 (SB2_B10)   stellarity = 0.89   chisq2 = 1.88   ODDS = 0.24   z_cluster = 0.341