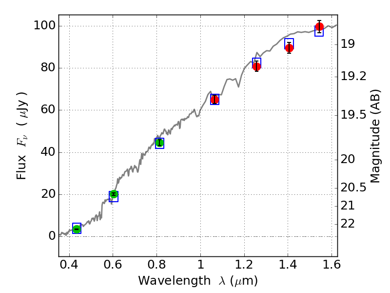
RXC0142+44 IR detection object #1043

Color images and BPZ results
Catalog: 1043.cat
Black segments are analyzed here.   Roll mouse over color images to view segments.
Best viewed in a wide browser window (1200 pixels or more).   Download SED & P(z) plots to view larger versions.
In P(z) plots: Yellow lines mark the cluster redshift z = 0.341,  

Object #1043   x,y = (2388, 1780)   RA, Dec = (01:42:55.440, 44:37:19.92) = (25.73100, 44.62220)   BPZ = 0.383 [0.270--0.411]   type = 3.80 (Ell4_A_0 - Ell5_A_0)   stellarity = 0.03   chisq2 = 0.06   ODDS = 0.78   z_cluster = 0.341