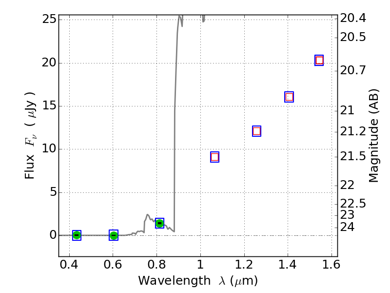
RXC0142+44 ACS+IR detection object #4696

Color images and BPZ results
Catalog: 4696.cat
Black segments are analyzed here.   Roll mouse over color images to view segments.
Best viewed in a wide browser window (1200 pixels or more).   Download SED & P(z) plots to view larger versions.
In P(z) plots: Yellow lines mark the cluster redshift z = 0.341,  

Object #4696   x,y = (4319, 1359)   RA, Dec = (01:42:44.592, 44:36:54.72) = (25.68580, 44.61520)   BPZ = 6.251 [5.920--8.719]   type = 5.60 (Sbc_B10 - ES0_B10)   chisq2 = 0.00   ODDS = 0.48   z_cluster = 0.341