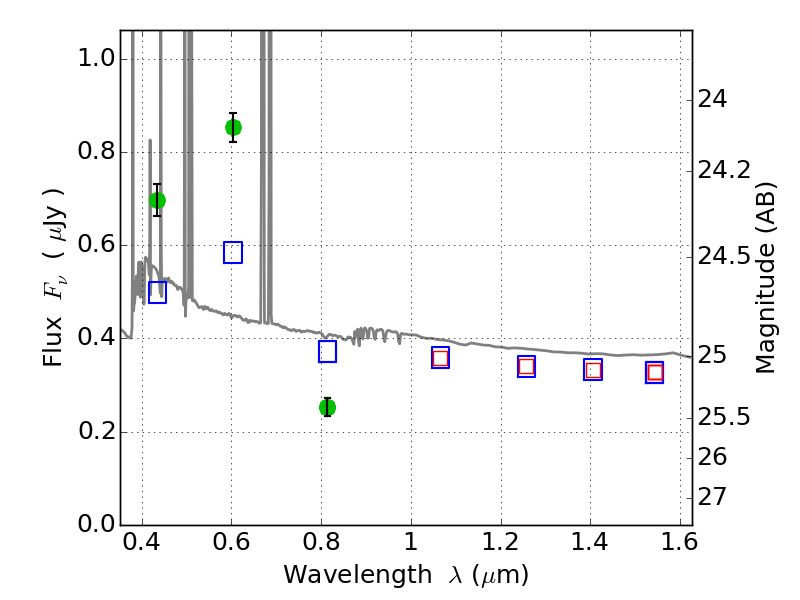
RXC0142+44 ACS+IR detection object #4370

Color images and BPZ results
Catalog: 4370.cat
Black segments are analyzed here.   Roll mouse over color images to view segments.
Best viewed in a wide browser window (1200 pixels or more).   Download SED & P(z) plots to view larger versions.
In P(z) plots: Yellow lines mark the cluster redshift z = 0.341,  

Object #4370   x,y = (4292, 1590)   RA, Dec = (01:42:44.736, 44:37:08.76) = (25.68640, 44.61910)   BPZ = 0.017 [0.010--0.033]   type = 11.00 (SB11_A_0_l)   chisq2 = 59.33   ODDS = 1.00   z_cluster = 0.341