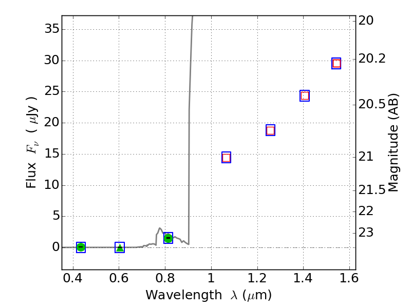
RXC0142+44 ACS+IR detection object #4369

Color images and BPZ results
Catalog: 4369.cat
Black segments are analyzed here.   Roll mouse over color images to view segments.
Best viewed in a wide browser window (1200 pixels or more).   Download SED & P(z) plots to view larger versions.
In P(z) plots: Yellow lines mark the cluster redshift z = 0.341,  

Object #4369   x,y = (4291, 1596)   RA, Dec = (01:42:44.760, 44:37:09.12) = (25.68650, 44.61920)   BPZ = 6.427 [6.033--9.252]   type = 6.00 (Sbc_B10)   chisq2 = 0.00   ODDS = 0.44   z_cluster = 0.341