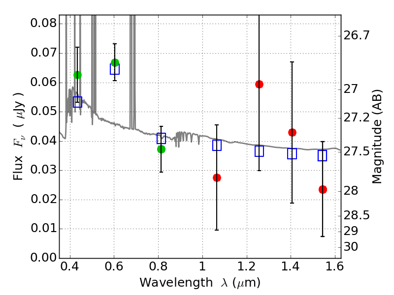
RXC0142+44 ACS+IR detection object #3966

Color images and BPZ results
Catalog: 3966.cat
Black segments are analyzed here.   Roll mouse over color images to view segments.
Best viewed in a wide browser window (1200 pixels or more).   Download SED & P(z) plots to view larger versions.
In P(z) plots: Yellow lines mark the cluster redshift z = 0.341,  

Object #3966   x,y = (3334, 1891)   RA, Dec = (01:42:50.136, 44:37:26.76) = (25.70890, 44.62410)   BPZ = 0.035 [0.020--2.804]   type = 11.00 (SB11_A_0_l)   chisq2 = 0.53   ODDS = 0.15   z_cluster = 0.341