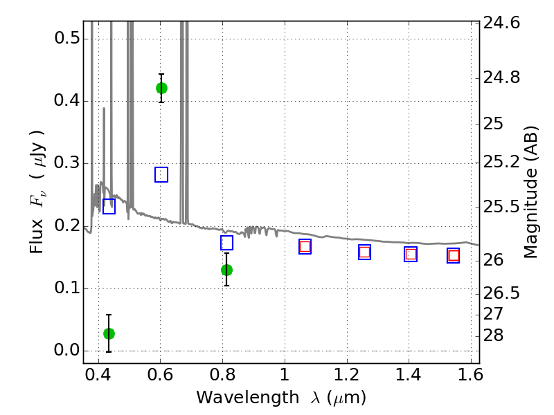
RXC0142+44 ACS+IR detection object #3813

Color images and BPZ results
Catalog: 3813.cat
Black segments are analyzed here.   Roll mouse over color images to view segments.
Best viewed in a wide browser window (1200 pixels or more).   Download SED & P(z) plots to view larger versions.
In P(z) plots: Yellow lines mark the cluster redshift z = 0.341,  

Object #3813   x,y = (784, 1989)   RA, Dec = (01:43:04.464, 44:37:32.52) = (25.76860, 44.62570)   BPZ = 0.019 [0.010--3.535]   type = 11.00 (SB11_A_0_l)   chisq2 = 59.24   ODDS = 0.80   z_cluster = 0.341