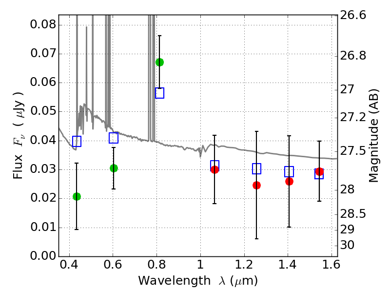
RXC0142+44 ACS+IR detection object #3289

Color images and BPZ results
Catalog: 3289.cat
Black segments are analyzed here.   Roll mouse over color images to view segments.
Best viewed in a wide browser window (1200 pixels or more).   Download SED & P(z) plots to view larger versions.
In P(z) plots: Yellow lines mark the cluster redshift z = 0.341,  

Object #3289   x,y = (2479, 2261)   RA, Dec = (01:42:54.936, 44:37:49.08) = (25.72890, 44.63030)   BPZ = 0.169 [0.098--4.442]   type = 11.00 (SB11_A_0_l)   chisq2 = 0.95   ODDS = 0.42   z_cluster = 0.341