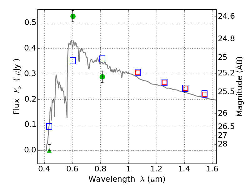
RXC0142+44 ACS+IR detection object #302

Color images and BPZ results
Catalog: 302.cat
Black segments are analyzed here.   Roll mouse over color images to view segments.
Best viewed in a wide browser window (1200 pixels or more).   Download SED & P(z) plots to view larger versions.
In P(z) plots: Yellow lines mark the cluster redshift z = 0.341,  

Object #302   x,y = (626, 4081)   RA, Dec = (01:43:05.352, 44:39:38.16) = (25.77230, 44.66060)   BPZ = 3.634 [3.549--3.718]   type = 11.00 (SB11_A_0_l)   chisq2 = 45.40   ODDS = 1.00   z_cluster = 0.341