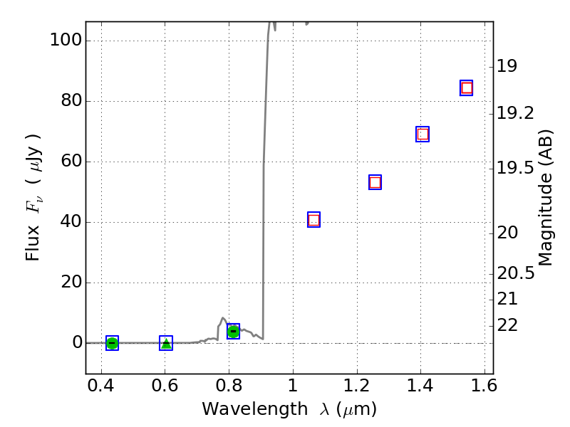
RXC0142+44 ACS+IR detection object #2969

Color images and BPZ results
Catalog: 2969.cat
Black segments are analyzed here.   Roll mouse over color images to view segments.
Best viewed in a wide browser window (1200 pixels or more).   Download SED & P(z) plots to view larger versions.
In P(z) plots: Yellow lines mark the cluster redshift z = 0.341,  

Object #2969   x,y = (4255, 2451)   RA, Dec = (01:42:44.952, 44:38:00.24) = (25.68730, 44.63340)   BPZ = 6.471 [6.196--8.402]   type = 6.00 (Sbc_B10)   chisq2 = 0.00   ODDS = 0.53   z_cluster = 0.341