RXC0142+44 ACS+IR detection object #2906

Color images and BPZ results
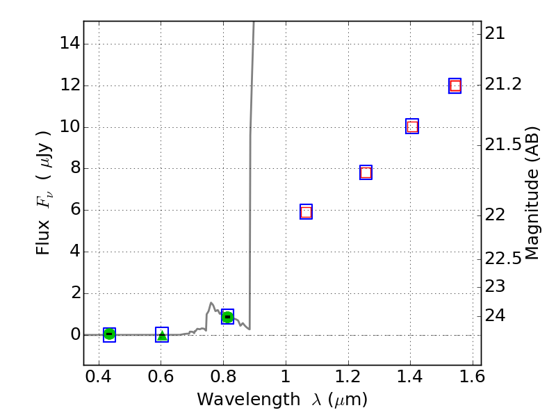
Catalog: 2906.cat
Black segments are analyzed here.   Roll mouse over color images to view segments.
Best viewed in a wide browser window (1200 pixels or more).   Download SED & P(z) plots to view larger versions.
In P(z) plots: Yellow lines mark the cluster redshift z = 0.341,  

Object #2906   x,y = (4241, 2815)   RA, Dec = (01:42:45.024, 44:38:22.20) = (25.68760, 44.63950)   BPZ = 6.277 [5.903--9.068]   type = 6.00 (Sbc_B10)   chisq2 = 0.00   ODDS = 0.40   z_cluster = 0.341