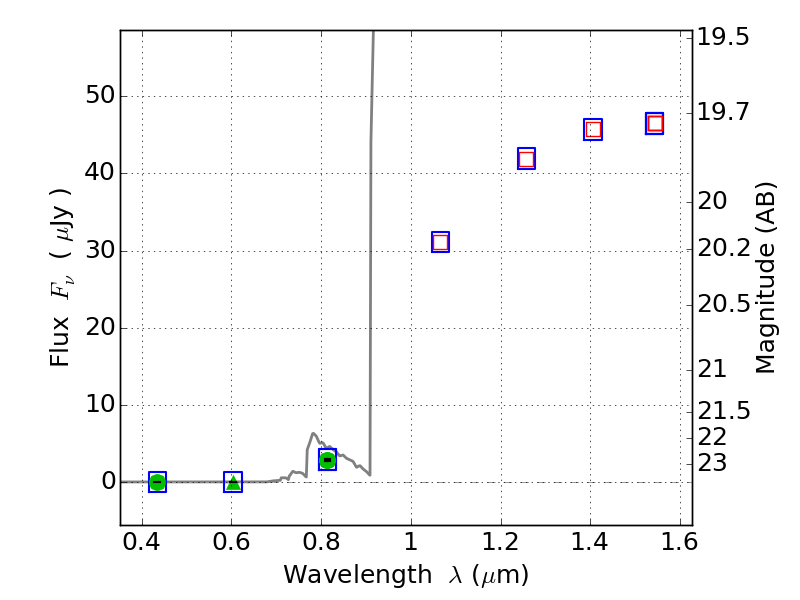
RXC0142+44 ACS+IR detection object #2710

Color images and BPZ results
Catalog: 2710.cat
Black segments are analyzed here.   Roll mouse over color images to view segments.
Best viewed in a wide browser window (1200 pixels or more).   Download SED & P(z) plots to view larger versions.
In P(z) plots: Yellow lines mark the cluster redshift z = 0.341,  

Object #2710   x,y = (761, 2581)   RA, Dec = (01:43:04.584, 44:38:08.16) = (25.76910, 44.63560)   BPZ = 6.485 [6.231--8.560]   type = 7.00 (Scd_B10)   chisq2 = 0.00   ODDS = 0.49   z_cluster = 0.341