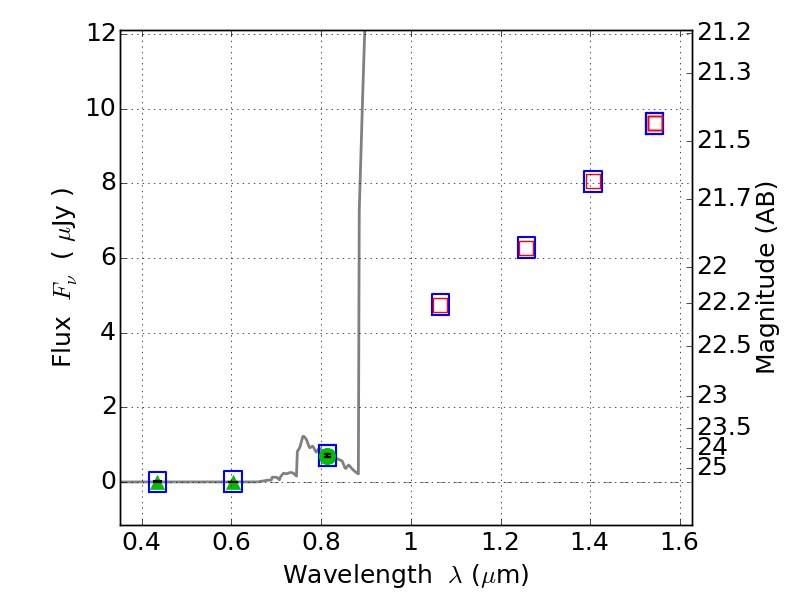
RXC0142+44 ACS+IR detection object #2686

Color images and BPZ results
Catalog: 2686.cat
Black segments are analyzed here.   Roll mouse over color images to view segments.
Best viewed in a wide browser window (1200 pixels or more).   Download SED & P(z) plots to view larger versions.
In P(z) plots: Yellow lines mark the cluster redshift z = 0.341,  

Object #2686   x,y = (749, 2598)   RA, Dec = (01:43:04.656, 44:38:09.24) = (25.76940, 44.63590)   BPZ = 6.272 [5.867--8.861]   type = 6.00 (Sbc_B10)   chisq2 = 0.00   ODDS = 0.39   z_cluster = 0.341