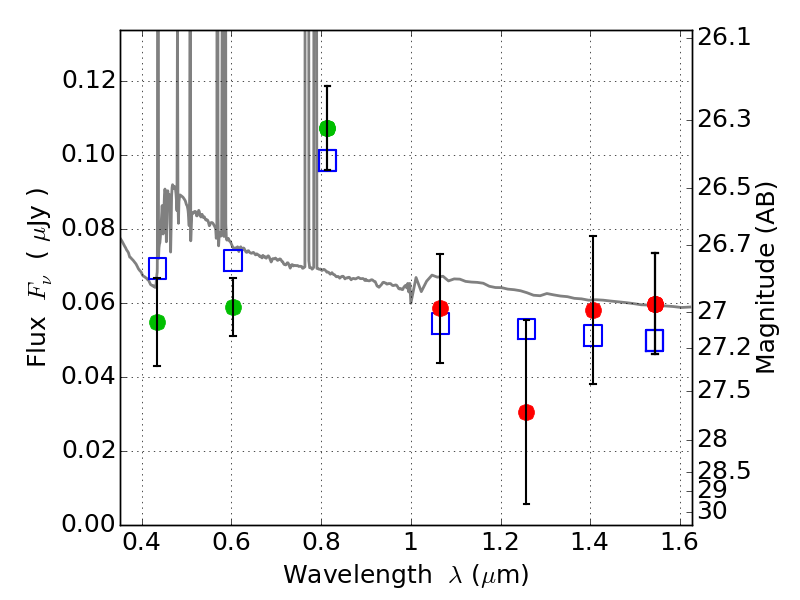
RXC0142+44 ACS+IR detection object #2037

Color images and BPZ results
Catalog: 2037.cat
Black segments are analyzed here.   Roll mouse over color images to view segments.
Best viewed in a wide browser window (1200 pixels or more).   Download SED & P(z) plots to view larger versions.
In P(z) plots: Yellow lines mark the cluster redshift z = 0.341,  

Object #2037   x,y = (2092, 2936)   RA, Dec = (01:42:57.120, 44:38:29.40) = (25.73800, 44.64150)   BPZ = 0.169 [0.096--0.526]   type = 11.00 (SB11_A_0_l)   chisq2 = 0.83   ODDS = 0.59   z_cluster = 0.341