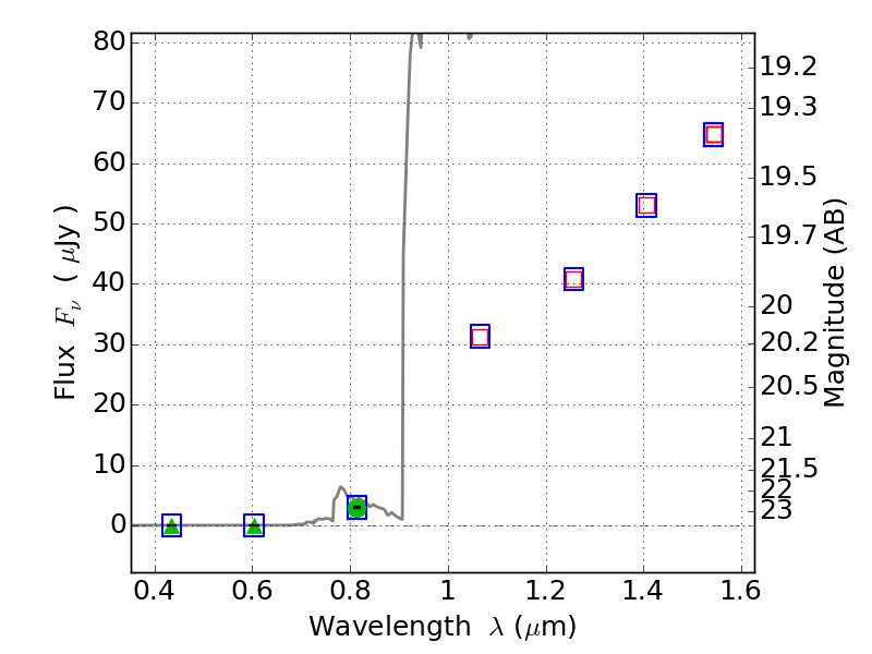
RXC0142+44 ACS+IR detection object #1767

Color images and BPZ results
Catalog: 1767.cat
Black segments are analyzed here.   Roll mouse over color images to view segments.
Best viewed in a wide browser window (1200 pixels or more).   Download SED & P(z) plots to view larger versions.
In P(z) plots: Yellow lines mark the cluster redshift z = 0.341,  

Object #1767   x,y = (711, 3174)   RA, Dec = (01:43:04.872, 44:38:43.80) = (25.77030, 44.64550)   BPZ = 6.472 [6.194--8.471]   type = 6.00 (Sbc_B10)   chisq2 = 0.00   ODDS = 0.51   z_cluster = 0.341