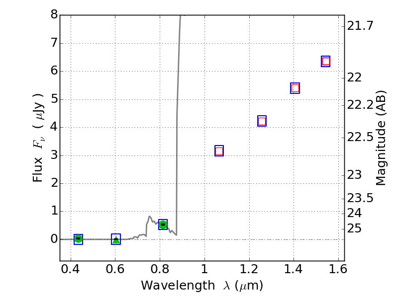
RXC0142+44 ACS+IR detection object #1420

Color images and BPZ results
Catalog: 1420.cat
Black segments are analyzed here.   Roll mouse over color images to view segments.
Best viewed in a wide browser window (1200 pixels or more).   Download SED & P(z) plots to view larger versions.
In P(z) plots: Yellow lines mark the cluster redshift z = 0.341,  

Object #1420   x,y = (672, 3497)   RA, Dec = (01:43:05.088, 44:39:03.24) = (25.77120, 44.65090)   BPZ = 6.213 [5.757--9.058]   type = 6.00 (Sbc_B10)   chisq2 = 0.01   ODDS = 0.37   z_cluster = 0.341