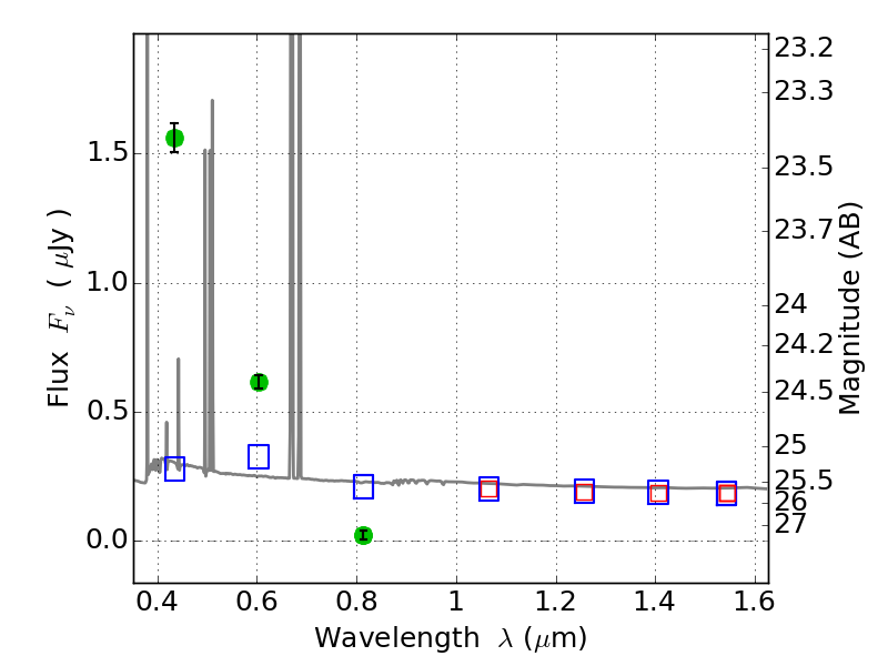
RXC0142+44 ACS+IR detection object #1326

Color images and BPZ results
Catalog: 1326.cat
Black segments are analyzed here.   Roll mouse over color images to view segments.
Best viewed in a wide browser window (1200 pixels or more).   Download SED & P(z) plots to view larger versions.
In P(z) plots: Yellow lines mark the cluster redshift z = 0.341,  

Object #1326   x,y = (4201, 3473)   RA, Dec = (01:42:45.240, 44:39:01.44) = (25.68850, 44.65040)   BPZ = 0.017 [0.010--0.033]   type = 11.00 (SB11_A_0_l)   chisq2 = 611.10   ODDS = 1.00   z_cluster = 0.341