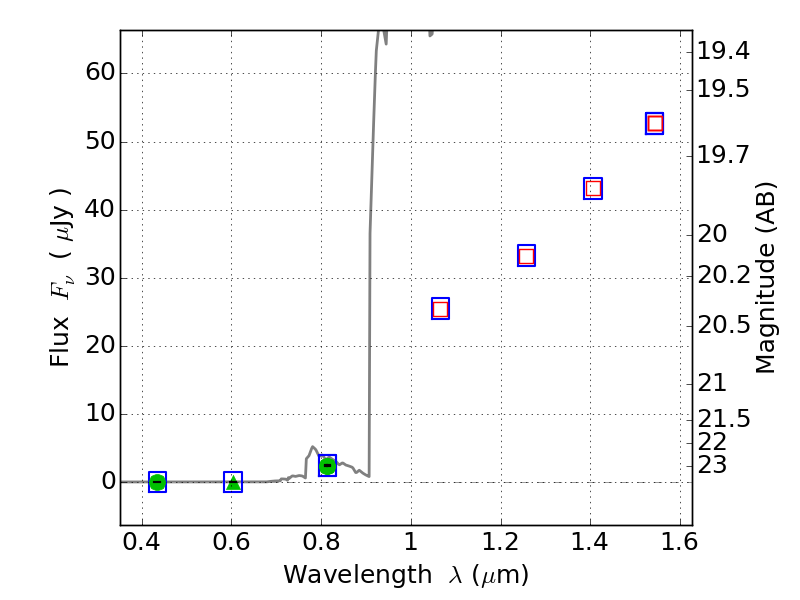
RXC0142+44 ACS+IR detection object #1198

Color images and BPZ results
Catalog: 1198.cat
Black segments are analyzed here.   Roll mouse over color images to view segments.
Best viewed in a wide browser window (1200 pixels or more).   Download SED & P(z) plots to view larger versions.
In P(z) plots: Yellow lines mark the cluster redshift z = 0.341,  

Object #1198   x,y = (4220, 3550)   RA, Dec = (01:42:45.144, 44:39:06.12) = (25.68810, 44.65170)   BPZ = 6.473 [6.199--8.611]   type = 6.00 (Sbc_B10)   chisq2 = 0.00   ODDS = 0.48   z_cluster = 0.341