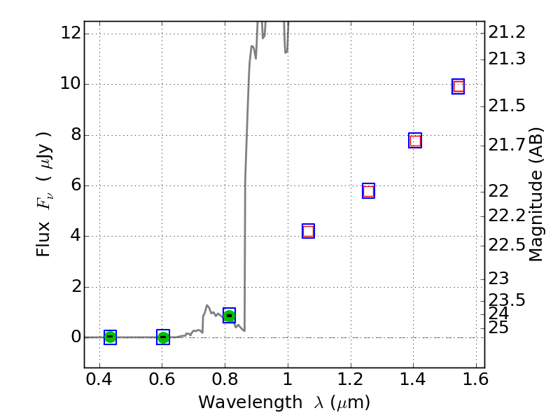
RXC0142+44 ACS+IR detection object #1026

Color images and BPZ results
Catalog: 1026.cat
Black segments are analyzed here.   Roll mouse over color images to view segments.
Best viewed in a wide browser window (1200 pixels or more).   Download SED & P(z) plots to view larger versions.
In P(z) plots: Yellow lines mark the cluster redshift z = 0.341,  

Object #1026   x,y = (4231, 3663)   RA, Dec = (01:42:45.072, 44:39:12.96) = (25.68780, 44.65360)   BPZ = 6.108 [5.820--8.913]   type = 5.50 (Sbc_B10 - ES0_B10)   chisq2 = 0.00   ODDS = 0.46   z_cluster = 0.341