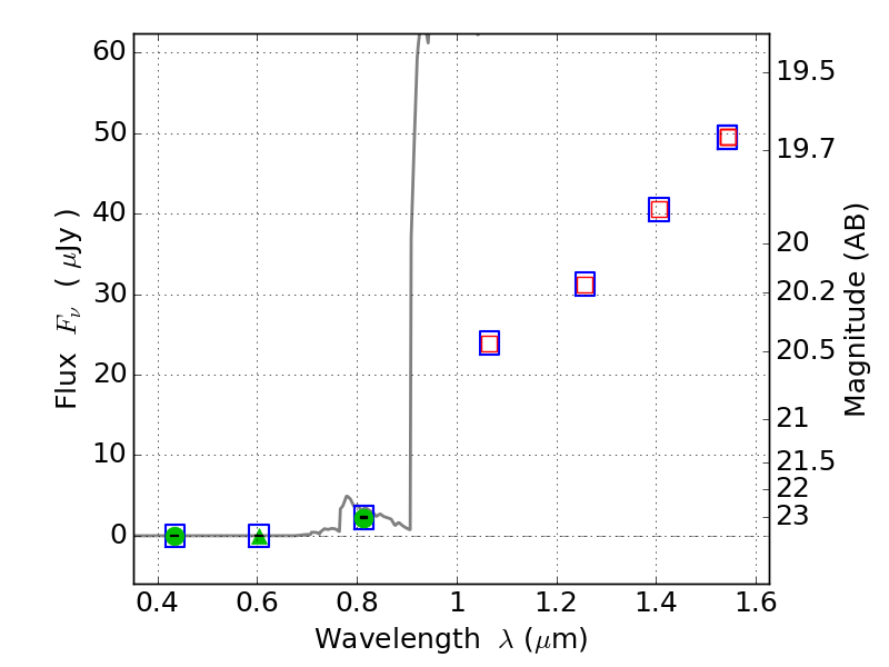
RXC0142+44 ACS+IR detection object #880

Color images and BPZ results
Catalog: 880.cat
Black segments are analyzed here.   Roll mouse over color images to view segments.
Best viewed in a wide browser window (1200 pixels or more).   Download SED & P(z) plots to view larger versions.
In P(z) plots: Yellow lines mark the cluster redshift z = 0.341,  

Object #880   x,y = (671, 3759)   RA, Dec = (01:43:05.112, 44:39:18.72) = (25.77130, 44.65520)   BPZ = 6.463 [6.141--8.621]   type = 6.00 (Sbc_B10)   chisq2 = 0.00   ODDS = 0.49   z_cluster = 0.341