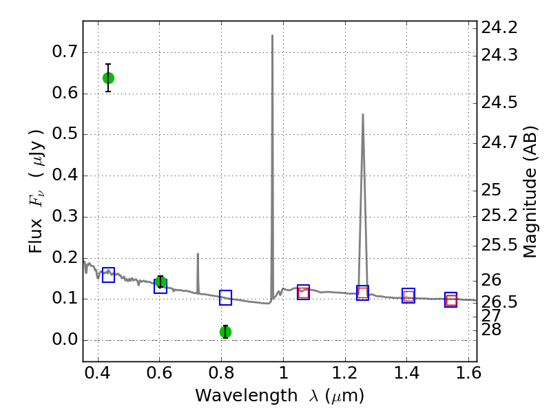
RXC0142+44 ACS+IR detection object #770

Color images and BPZ results
Catalog: 770.cat
Black segments are analyzed here.   Roll mouse over color images to view segments.
Best viewed in a wide browser window (1200 pixels or more).   Download SED & P(z) plots to view larger versions.
In P(z) plots: Yellow lines mark the cluster redshift z = 0.341,  

Object #770   x,y = (4207, 3820)   RA, Dec = (01:42:45.216, 44:39:22.32) = (25.68840, 44.65620)   BPZ = 1.593 [1.453--2.099]   type = 11.00 (SB11_A_0_l)   chisq2 = 235.60   ODDS = 0.56   z_cluster = 0.341