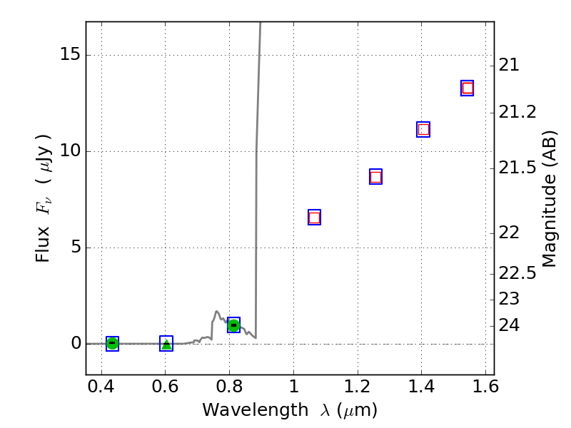
RXC0142+44 ACS+IR detection object #701

Color images and BPZ results
Catalog: 701.cat
Black segments are analyzed here.   Roll mouse over color images to view segments.
Best viewed in a wide browser window (1200 pixels or more).   Download SED & P(z) plots to view larger versions.
In P(z) plots: Yellow lines mark the cluster redshift z = 0.341,  

Object #701   x,y = (661, 3864)   RA, Dec = (01:43:05.160, 44:39:25.20) = (25.77150, 44.65700)   BPZ = 6.275 [5.893--8.890]   type = 6.00 (Sbc_B10)   chisq2 = 0.00   ODDS = 0.40   z_cluster = 0.341