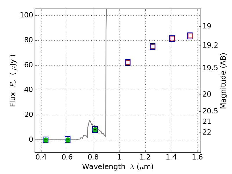
RXC0142+44 ACS+IR detection object #660

Color images and BPZ results
Catalog: 660.cat
Black segments are analyzed here.   Roll mouse over color images to view segments.
Best viewed in a wide browser window (1200 pixels or more).   Download SED & P(z) plots to view larger versions.
In P(z) plots: Yellow lines mark the cluster redshift z = 0.341,  

Object #660   x,y = (4184, 3887)   RA, Dec = (01:42:45.360, 44:39:26.64) = (25.68900, 44.65740)   BPZ = 6.393 [6.212--7.475]   type = 7.60 (SB1_B10 - Scd_B10)   chisq2 = 0.00   ODDS = 0.82   z_cluster = 0.341