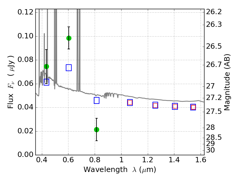
RXC0142+44 ACS+IR detection object #5387

Color images and BPZ results
Catalog: 5387.cat
Black segments are analyzed here.   Roll mouse over color images to view segments.
Best viewed in a wide browser window (1200 pixels or more).   Download SED & P(z) plots to view larger versions.
In P(z) plots: Yellow lines mark the cluster redshift z = 0.341,  

Object #5387   x,y = (4291, 938)   RA, Dec = (01:42:44.760, 44:36:29.52) = (25.68650, 44.60820)   BPZ = 0.024 [0.013--2.622]   type = 11.00 (SB11_A_0_l)   chisq2 = 17.07   ODDS = 0.34   z_cluster = 0.341