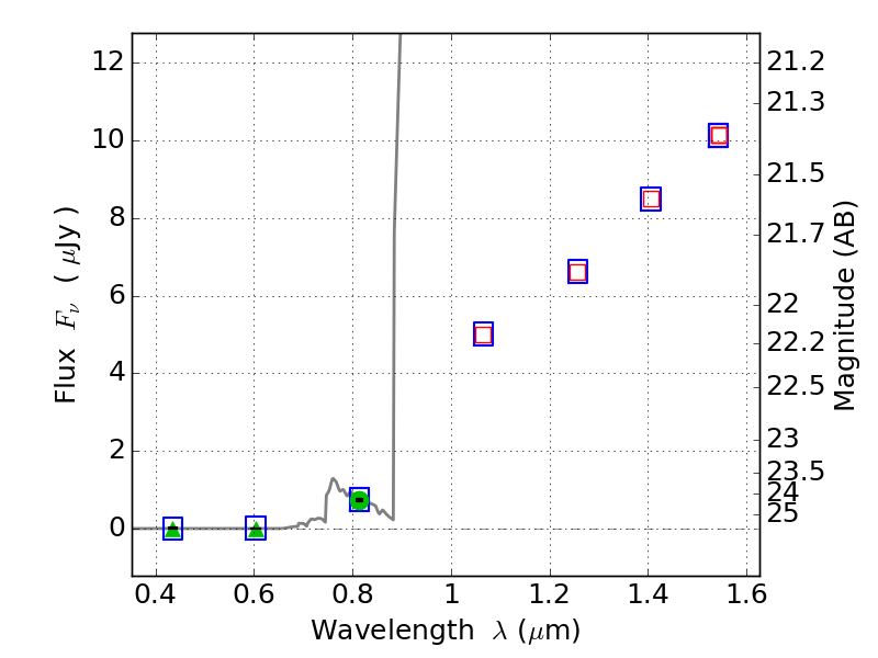
RXC0142+44 ACS+IR detection object #4750

Color images and BPZ results
Catalog: 4750.cat
Black segments are analyzed here.   Roll mouse over color images to view segments.
Best viewed in a wide browser window (1200 pixels or more).   Download SED & P(z) plots to view larger versions.
In P(z) plots: Yellow lines mark the cluster redshift z = 0.341,  

Object #4750   x,y = (4343, 1328)   RA, Dec = (01:42:44.448, 44:36:52.92) = (25.68520, 44.61470)   BPZ = 6.275 [5.888--8.846]   type = 6.00 (Sbc_B10)   chisq2 = 0.00   ODDS = 0.39   z_cluster = 0.341