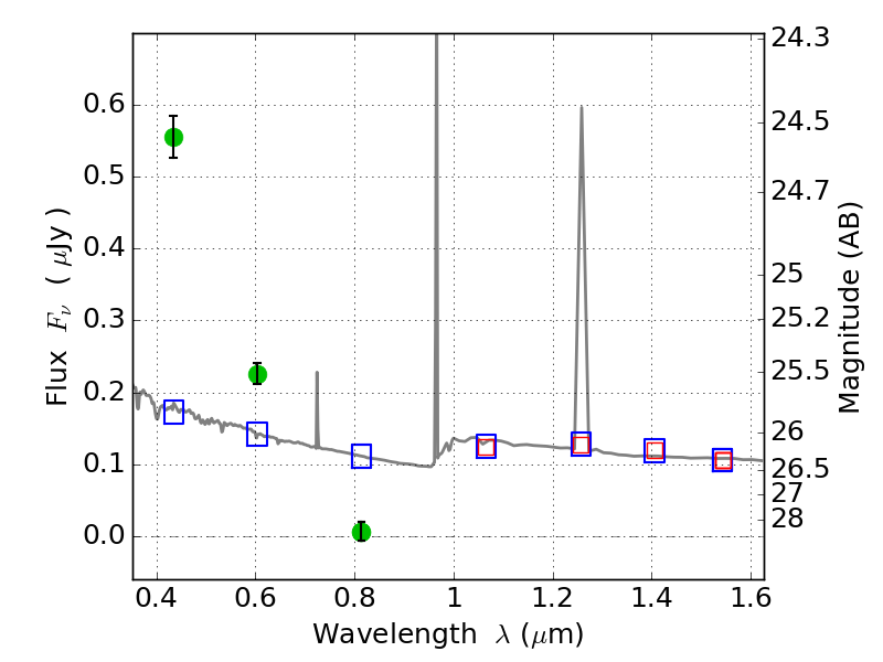
RXC0142+44 ACS+IR detection object #4718

Color images and BPZ results
Catalog: 4718.cat
Black segments are analyzed here.   Roll mouse over color images to view segments.
Best viewed in a wide browser window (1200 pixels or more).   Download SED & P(z) plots to view larger versions.
In P(z) plots: Yellow lines mark the cluster redshift z = 0.341,  

Object #4718   x,y = (4347, 1389)   RA, Dec = (01:42:44.448, 44:36:56.52) = (25.68520, 44.61570)   BPZ = 1.594 [0.017--2.012]   type = 11.00 (SB11_A_0_l)   chisq2 = 245.60   ODDS = 0.64   z_cluster = 0.341