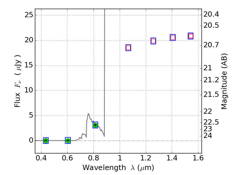
RXC0142+44 ACS+IR detection object #465

Color images and BPZ results
Catalog: 465.cat
Black segments are analyzed here.   Roll mouse over color images to view segments.
Best viewed in a wide browser window (1200 pixels or more).   Download SED & P(z) plots to view larger versions.
In P(z) plots: Yellow lines mark the cluster redshift z = 0.341,  

Object #465   x,y = (629, 4046)   RA, Dec = (01:43:05.328, 44:39:36.00) = (25.77220, 44.66000)   BPZ = 6.274 [6.002--8.100]   type = 9.20 (SB2_B10 - SB3_B10)   chisq2 = 0.00   ODDS = 0.64   z_cluster = 0.341