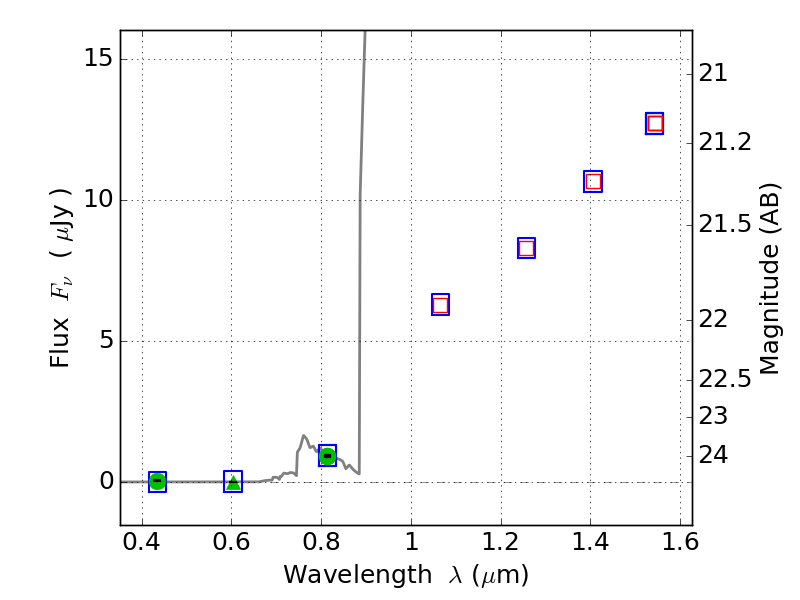
RXC0142+44 ACS+IR detection object #4311

Color images and BPZ results
Catalog: 4311.cat
Black segments are analyzed here.   Roll mouse over color images to view segments.
Best viewed in a wide browser window (1200 pixels or more).   Download SED & P(z) plots to view larger versions.
In P(z) plots: Yellow lines mark the cluster redshift z = 0.341,  

Object #4311   x,y = (4310, 1629)   RA, Dec = (01:42:44.640, 44:37:10.92) = (25.68600, 44.61970)   BPZ = 6.277 [5.904--8.968]   type = 6.00 (Sbc_B10)   chisq2 = 0.00   ODDS = 0.40   z_cluster = 0.341