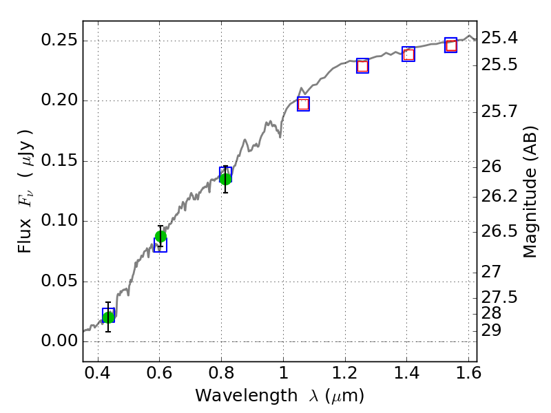
RXC0142+44 ACS+IR detection object #4090

Color images and BPZ results
Catalog: 4090.cat
Black segments are analyzed here.   Roll mouse over color images to view segments.
Best viewed in a wide browser window (1200 pixels or more).   Download SED & P(z) plots to view larger versions.
In P(z) plots: Yellow lines mark the cluster redshift z = 0.341,  

Object #4090   x,y = (3420, 1805)   RA, Dec = (01:42:49.632, 44:37:21.72) = (25.70680, 44.62270)   BPZ = 0.162 [0.075--3.989]   type = 4.00 (Ell4_A_0)   chisq2 = 0.25   ODDS = 0.11   z_cluster = 0.341