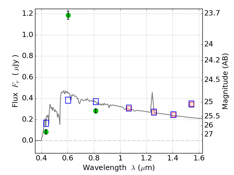
RXC0142+44 ACS+IR detection object #4066

Color images and BPZ results
Catalog: 4066.cat
Black segments are analyzed here.   Roll mouse over color images to view segments.
Best viewed in a wide browser window (1200 pixels or more).   Download SED & P(z) plots to view larger versions.
In P(z) plots: Yellow lines mark the cluster redshift z = 0.341,  

Object #4066   x,y = (4295, 1833)   RA, Dec = (01:42:44.736, 44:37:23.16) = (25.68640, 44.62310)   BPZ = 3.454 [3.328--3.567]   type = 11.00 (SB11_A_0_l)   chisq2 = 324.50   ODDS = 1.00   z_cluster = 0.341