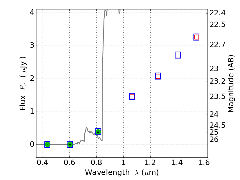
RXC0142+44 ACS+IR detection object #3797

Color images and BPZ results
Catalog: 3797.cat
Black segments are analyzed here.   Roll mouse over color images to view segments.
Best viewed in a wide browser window (1200 pixels or more).   Download SED & P(z) plots to view larger versions.
In P(z) plots: Yellow lines mark the cluster redshift z = 0.341,  

Object #3797   x,y = (836, 2265)   RA, Dec = (01:43:04.176, 44:37:49.08) = (25.76740, 44.63030)   BPZ = 5.940 [5.646--8.868]   type = 5.60 (Sbc_B10 - ES0_B10)   chisq2 = 0.00   ODDS = 0.39   z_cluster = 0.341